2016-06-01から1ヶ月間の記事一覧

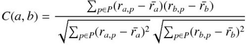
リコメンデーションのための相関係数1

ユーザーに対して類似のアイテムを推薦すること、いわゆるリコメンデーションを機械にさせるのが、浸透している。リコメンデーションのアルゴリズムというのは興味深い。 item A item B item C item D user 1 2 0 2 1 user 2 3 0 1 3 user 3 2 1 3 1 user 4 …

寄付と投資

歳をとったのか世のため人のために多少は貢献できないかなと思うようになった。手っ取り早い手段は寄付をすることだ。世の中にはお金で解決できる問題は多い。ただお金を出すだけで世の中のためになるなら楽なものだ。金は命よりも重いが、負担にならない程…

『Who Gets What』

アルビン・E・ロス著『Who Gets What――マッチメイキングとマーケットデザインの新しい経済学』を読んだ。本の内容とは別に考えたことを記す。 Who Gets What (フー・ゲッツ・ホワット) ―マッチメイキングとマーケットデザインの新しい経済学作者: アルビン・…

出版業は市場データで効率化できるはず

Amazonは手に入りにくい本が簡単に手に入るのでよくお世話になっている。特に便利だと思うのは、中古本のマーケットプレイスというシステムだ。欲しい本が予め決定しているときに、Bookoffに行くことはない。非常によく出ている本はBookoffで探せば見つかる…

コード型ログ(4) Initialization-on-demand Holder

前回: コード型ログ(3) privateなメソッドのテスト - 超ウィザード級ハッカーのたのしみ 必要なときにインスタンスを作ったら、メモリ効率がよくないかと思って変なことをしてしまう悪い例。 class BadSingleton1 { private static BadSingleton1 instance;…

コード型ログ(3) privateなメソッドのテスト

前回: コード型ログ(2) staticな変数の排他にはsynchronized(*.class) { } を使う - 超ウィザード級ハッカーのたのしみ privateなメソッドは、ユニットテストがしにくい。 対処法は2つで、 テストしないか、 Reflectionで頑張るか、 スコープをpackage pri…

コード型ログ(2) staticな変数の排他にはsynchronized(*.class) { } を使う

他の人が書いていたら読めるけれども、知らなきゃ書けない定型文をあつめたコード型ログを作っている。今回は2回目。 前回: コード型ログ(1) スレッドを止めるにはinterruptを使う - 超ウィザード級ハッカーのたのしみ いい設計とは言えないかもしれないが…

コード型ログ(1) スレッドを止めるにはinterruptを使う

他の人が書いていたら読めるけれども、知らなければ書けない定型的なソースコードの型を集めているので気が向いたら書いていく。ダジャレが好きなので、コード型ログと呼ぶ。今回は1回目。 無限ループを持つスレッドはinterrupt()で止められるようにする。 …

シンプル騎士団を結社する

シンプル騎士団を結社する。 シンプルであることが設計の最大の美徳ある。これを教義とした秘密結社、シンプル騎士団を結成したいと思う。活動の実体もないし、名簿とかもない。シンプルさって大切だよねと思っている人は、ただ心に思うだけで、特に手続きも…

技術者が得意げに解説することこそ解決すべき技術的課題

技術者というのは、製品の仕組みだとか作リ方だとか飼い慣らし方だとかを知っている。それが彼らの自尊心だから、知っていることを得意げに語りたがるし、知らない人を下に見たりする。気持ちはわかるし、誇りを持つことは良いことだ。 ずっとやっていたら詳…